Paper accepted | Physical Chemistry Chemical Physics
Lipid Bilayers as Potential Ice Nucleating Agents This paper is about…
PhD Studentship now available! Harnessing Molecular Simulations to advance Photovoltaics: design rules for the selective deposition of metals
A PhD Studentship (to start in October 2022) is now available via the HETSYS…
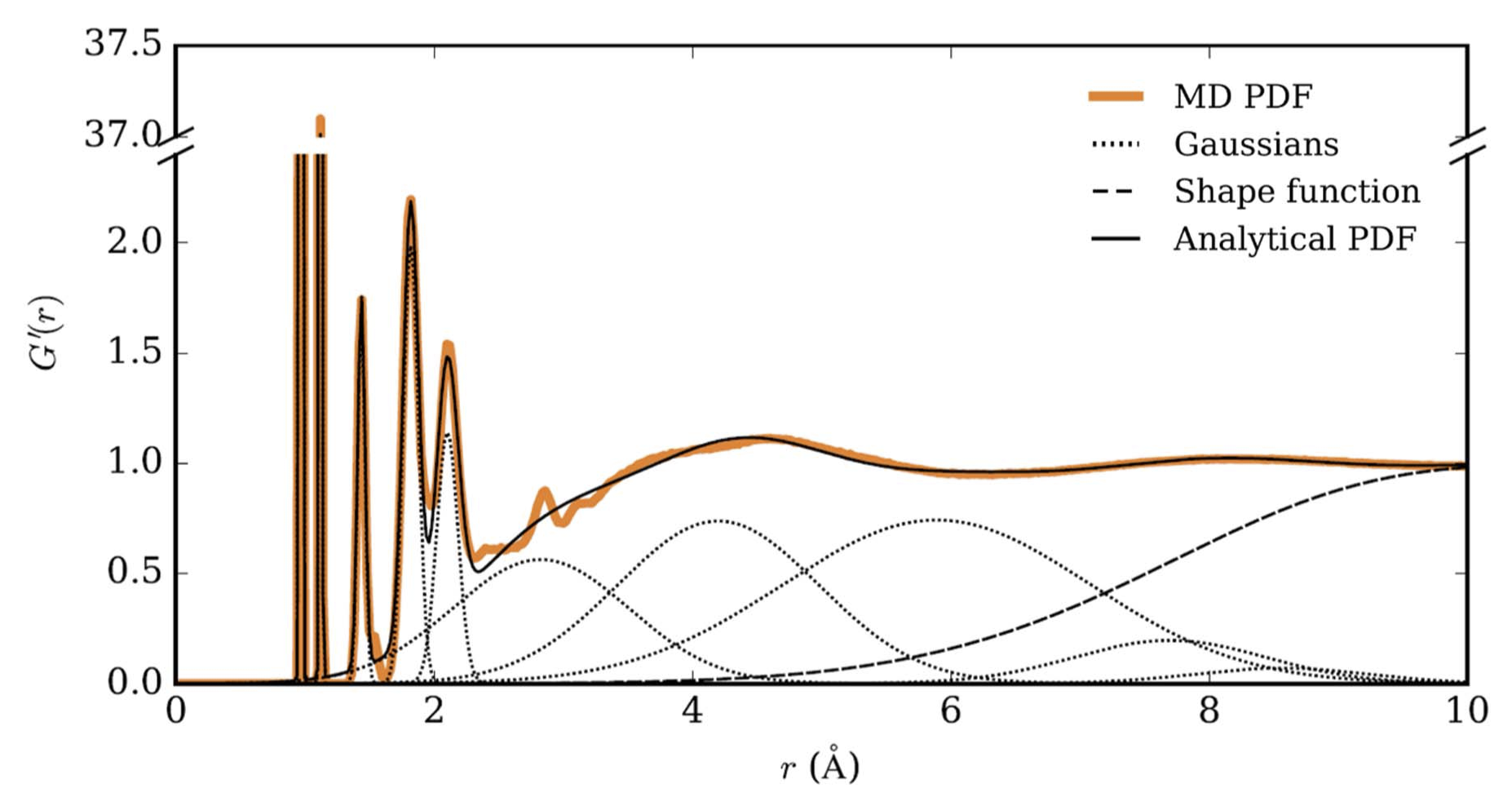
Paper published | Journal of Applied Crystallography
Recovering local structure information from high-pressure total scattering…
Paper published | Journal of Chemical Physics
The seven deadly sins: When computing crystal nucleation rates, the devil is…
Understanding Ice Formation in Plants - Postdoc position now available!
We are looking for a Postdoctoral Research Fellow to join the research group…
Paper published | Nature Communications
A Minimalistic Cyclic Ice-binding Peptide from Phage Display In this…
Paper published | Physical Review Letters
Microscopic Kinetics Pathway of Salt Crystallization in Graphene…
Paper published | Nature Communications
Solving the Puzzle of Polymers Binding to Ice for Cryopreservation Up to…










